Площадь арки синусоиды
Перейти к навигации
Перейти к поиску
Площадь арки синусоиды — это число, характеризующее арку (или часть арки) синусоиды в единицах измерения площади.
Арка (полуволна) синусоды — это область, ограниченная синусоидой и осью абсцисс при 0 ≤ x ≤ π.
Обозначения[править]
Введём обозначения:
x1 — абсцисса первой (меньшей) точки;
x2 — абсцисса второй (большей) точки;
y = sinx — уравнение синусоиды;
Ssin — площадь арки (или части арки) синусоиды.
Формула[править]
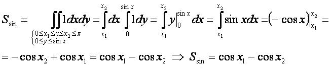
- Невозможно разобрать выражение (SVG с запасным PNG (MathML можно включить с помощью плагина для браузера): Недопустимый ответ («Math extension cannot connect to Restbase.») от сервера «https://wikimedia.org/api/rest_v1/»:): {\displaystyle S_{\sin}=\cos x_1-\cos x_2, \ 0 \le x_1 \le x_2 \le \pi}
- Площадь полной (от 0 до π) арки синусоиды равна Sарк.sin = 2.
Вывод формулы[править]
- Для вывода используется формула «площадь плоской фигуры» в прямоугольных координатах.
См. также[править]
Другие формулы[править]
- треугольник;
- четырёхугольник;
- круг;
- сегмент круга;
- сектор круга;
- серп;
- эллипс;
- сегмент эллипса;
- сектор эллипса;
- серп эллипса;
- сегмент параболы;
- сегмент гиперболы;
- сектор кардиоиды;
- сектор лемнискаты Бернулли;
- правильный многоугольник;
- сегмент правильного многоугольника;
- сектор правильного многоугольника;
- арка циклоиды;
- сектор кардиоиды;
- сектор лемнискаты Бернулли.
- арка синусоиды;
- арка косинусоиды;
- фигура, ограниченная тангенсоидой и осью абсцисс;
- фигура, ограниченная котангенсоидой и осью абсцисс;
- треугольник Рёло;
- пятиугольник Рёло;
- многоугольник Рёло;
- общая плоская фигура.