Площадь арки циклоиды
Перейти к навигации
Перейти к поиску
Площадь арки циклоиды — это число, характеризующее арку (или часть арки) циклоиды в единицах измерения площади.
Арка циклоиды — это область, ограниченная циклоидой и осью абсцисс при 0 ≤ x ≤ 2π.
Рассмотрим арки циклоиды при 0 ≤ t ≤ 2π.
Обозначения[править]
Введём обозначения:
x1 — абсцисса первой точки дуги;
y1 — ордината первой точки дуги;
t1 — параметр (меньший) первой точки дуги;
x2 — абсцисса второй точки дуги;
y2 — ордината второй точки дуги;
t2 — параметр (больший) второй точки дуги;
R — радиус производящей окружности;
t — параметрическая переменная;
x = R(t − sint) — параметрическое уравнение абсциссы циклоиды;
y = R(1 − cost) — параметрическое уравнение ординаты циклоиды;
Sцикл — площадь арки (или части арки) циклоиды.
Формула[править]
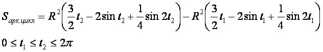
- Невозможно разобрать выражение (SVG с запасным PNG (MathML можно включить с помощью плагина для браузера): Недопустимый ответ («Math extension cannot connect to Restbase.») от сервера «https://wikimedia.org/api/rest_v1/»:): {\displaystyle S_\text{арк.цикл.}=R^2\left(\frac{3}{2}t_2-2\sin t_2 +\frac{1}{4}\sin 2t_2\right)-R^2\left(\frac{3}{2}t_1-2\sin t_1 +\frac{1}{4}\sin 2t_1\right),} Невозможно разобрать выражение (SVG с запасным PNG (MathML можно включить с помощью плагина для браузера): Недопустимый ответ («Math extension cannot connect to Restbase.») от сервера «https://wikimedia.org/api/rest_v1/»:): {\displaystyle 0 \le t_1 \le t_2 \le 2\pi}
- Площадь полной (от 0 до 2π) арки циклоиды равна площади трёх производящих кругов, Sарк.цикл = 3πR2.
Вывод формулы[править]
- Невозможно разобрать выражение (SVG с запасным PNG (MathML можно включить с помощью плагина для браузера): Недопустимый ответ («Math extension cannot connect to Restbase.») от сервера «https://wikimedia.org/api/rest_v1/»:): {\displaystyle S_\text{арк.цикл.}=\int\limits_{t_1}^{t_2}R(1-\cos t)[R(t - \sin t)]_t^{'}dt = \int\limits_{t_1}^{t_2}R^2(1-\cos t)^2dt =}
- Невозможно разобрать выражение (SVG с запасным PNG (MathML можно включить с помощью плагина для браузера): Недопустимый ответ («Math extension cannot connect to Restbase.») от сервера «https://wikimedia.org/api/rest_v1/»:): {\displaystyle = R^2\int\limits_{t_1}^{t_2}(1-2\cos t + \cos^2t)dt = R^2\int\limits_{t_1}^{t_2}\left(1-2\cos t + \frac{1+\cos 2t}{2}\right)dt =}
- Невозможно разобрать выражение (SVG с запасным PNG (MathML можно включить с помощью плагина для браузера): Недопустимый ответ («Math extension cannot connect to Restbase.») от сервера «https://wikimedia.org/api/rest_v1/»:): {\displaystyle = R^2\int\limits_{t_1}^{t_2}\left(\frac{3}{2}-2\cos t + \frac{1}{2}\cos 2t\right)dt = \left.R^2\left(\frac{3}{2}t-2\sin t + \frac{1}{4}\sin 2t\right)\right|_{t_1}^{t_2} =}
- Невозможно разобрать выражение (SVG с запасным PNG (MathML можно включить с помощью плагина для браузера): Недопустимый ответ («Math extension cannot connect to Restbase.») от сервера «https://wikimedia.org/api/rest_v1/»:): {\displaystyle =R^2\left(\frac{3}{2}t_2-2\sin t_2 +\frac{1}{4}\sin 2t_2\right)-R^2\left(\frac{3}{2}t_1-2\sin t_1 +\frac{1}{4}\sin 2t_1\right)}
- Для вывода используется формула «площадь плоской фигуры» в параметрической форме.
См. также[править]
Другие формулы[править]
- треугольник;
- четырёхугольник;
- круг;
- сегмент круга;
- сектор круга;
- серп;
- эллипс;
- сегмент эллипса;
- сектор эллипса;
- серп эллипса;
- сегмент параболы;
- сегмент гиперболы;
- сектор кардиоиды;
- сектор лемнискаты Бернулли;
- правильный многоугольник;
- сегмент правильного многоугольника;
- сектор правильного многоугольника;
- арка циклоиды;
- сектор кардиоиды;
- сектор лемнискаты Бернулли.
- арка синусоиды;
- арка косинусоиды;
- фигура, ограниченная тангенсоидой и осью абсцисс;
- фигура, ограниченная котангенсоидой и осью абсцисс;
- треугольник Рёло;
- пятиугольник Рёло;
- многоугольник Рёло;
- общая плоская фигура.