Длина дуги гиперболы
Перейти к навигации
Перейти к поиску
Длина дуги гиперболы — это число, характеризующее протяжённость дуги гиперболы в единицах измерения длины.
Обозначения[править]
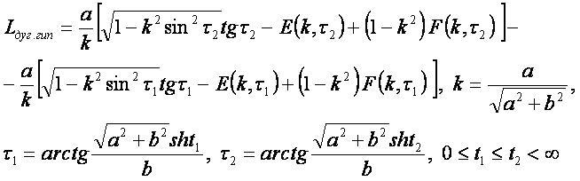
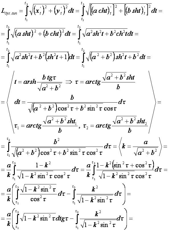
a — действительная полуось;
b — мнимая полуось;
1/k — эксцентриситет;
x2/a2 − y2/b2 = 1 — каноническое уравнение гиперболы;
t1 — параметр первой точки дуги;
t2 — параметр второй точки дуги;
t — параметрическая переменная;
x = acht — параметрическое уравнение абсциссы гиперболы;
y = bsht — параметрическое уравнение ординаты гиперболы;
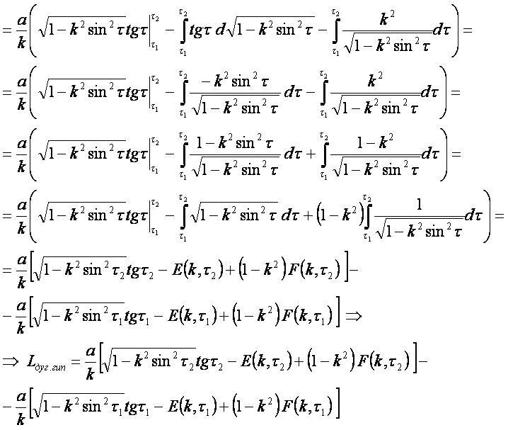
F(k, t) — эллиптический интеграл I рода;
E(k, t) — эллиптический интеграл II рода;
Lдуг.гип — длина дуги гиперболы.
Формула[править]
Вывод формулы[править]
- Для вывода используется формула «длина дуги плоской кривой» в параметрической форме.
- Для нахождения интеграла используются эллиптические интегралы I и II рода.
См. также[править]
Другие формулы[править]