Длина дуги лемнискаты Бернулли
Перейти к навигации
Перейти к поиску
Длина дуги лемнискаты Бернулли — это число, характеризующее протяжённость дуги лемнискаты Бернулли в единицах измерения длины.
Обозначения[править]
F1 — правый фокус;
F2 — левый фокус;
c — половина расстояния между фокусами;
(x2 + y2)2 = 2c2(x2 − y2) — уравнение лемнискаты Бернулли;
φ1 — угол (меньший) первой точки дуги;
φ2 — угол (больший) второй точки дуги;
φ — независимая переменная;
r2 = 2c2cos2φ — уравнение лемнискаты Бернулли в полярных координатах;
t1 — параметр первой точки дуги;
t2 — параметр второй точки дуги;
t — вспомогательная параметричиская переменная;
F(k, t) — эллиптический интеграл I рода;
Lдуг.лемн — длина дуги лемнискаты Бернулли.
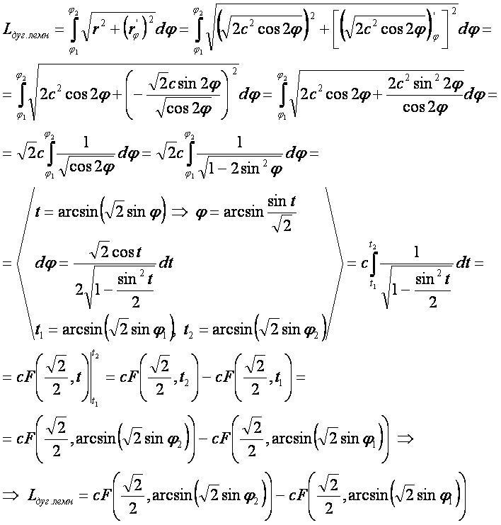
Формула[править]
- Периметр лемнискаты Бернулли (из двух лепестков) равен Pлемн = 4cF(√2/2, π/2).
Вывод формулы[править]
- Для вывода используется формула «длина дуги плоской кривой» в полярных координатах.
- Для нахождения интеграла используется эллиптический интеграл I рода.
См. также[править]
Другие формулы[править]