Длина дуги косинусоиды
Перейти к навигации
Перейти к поиску
Длина дуги косинусоиды — это число, характеризующее протяжённость дуги косинусоиды в единицах измерения длины.
Обозначения[править]
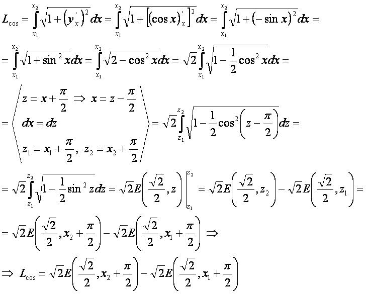
x1 — первая точка дуги;
x2 — вторая точка дуги;
y=cosx — уравнение косинусоиды;
E(k, t) — эллиптический интеграл II рода;
Lcos — длина дуги косинусоиды.
Формула[править]
- Длина полной (от -π/2 до π/2) арки косинусоиды равна Lарк.cos=2√2E(√2/2,π/2).
Вывод формулы[править]
- Для вывода используется формула длина дуги плоской кривой в прямоугольной системе координат.
- Для нахождения интеграла используется эллиптический интеграл II рода.
См. также[править]
Другие формулы[править]