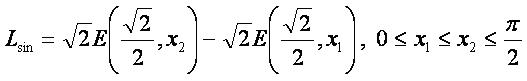
Длина дуги синусоиды — это число, характеризующее протяжённость дуги синусоиды в единицах измерения длины.
x1 — первая точка дуги;
x2 — вторая точка дуги;
y = sinx — уравнение синусоиды;
E(k, t) — эллиптический интеграл II рода;
Lsin — длина дуги синусоиды.

Длина полной (от 0 до π) арки синусоиды равна:
.
Вывод формулы[править]
![{\displaystyle L_{\sin }=\int \limits _{x_{1}}^{x_{2}}{\sqrt {1+\left(y'_{x}\right)^{2}}}dx=\int \limits _{x_{1}}^{x_{2}}{\sqrt {1+\left[(\sin x)'_{x}\right]^{2}}}dx=\int \limits _{x_{1}}^{x_{2}}{\sqrt {1+\cos ^{2}x}}dx=\int \limits _{x_{1}}^{x_{2}}{\sqrt {2-\sin ^{2}x}}dx=}](https://wikimedia.org/api/rest_v1/media/math/render/svg/4b0024c5c5c5cd1e2a2b23e81e0427a46a0dc127)


Другие формулы[править]