Площадь сегмента гиперболы
Перейти к навигации
Перейти к поиску
Площадь сегмента гиперболы — это число, характеризующее сегмент гиперболы в единицах измерения площади.
Сегмент гиперболы — это конечная фигура, отсекаемая прямой от гиперболы.
Виды сегментов:[править]
- перпендикулярный оси гиперболы;
- отсекаемый от одной ветви гиперболы;
- отсекаемый от двух ветвей гиперболы.
Обозначения[править]
Введём обозначения:
x1 — абсцисса первой крайней точки сегмента;
y1 — ордината первой крайней точки сегмента;
x2 — абсцисса второй крайней точки сегмента;
y2 — ордината второй крайней точки сегмента;
Sтреуг — площадь треугольника;
Sсегм.гип — площадь сегмента гиперболы.
Формулы:[править]
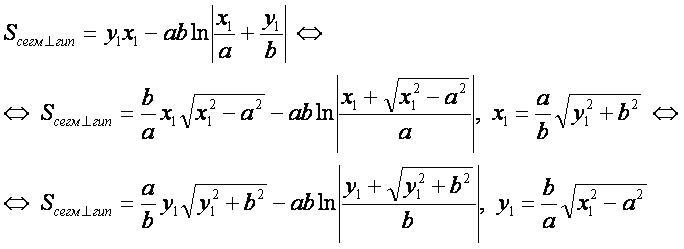
Площадь сегмента, перпендикулярного оси гиперболы[править]
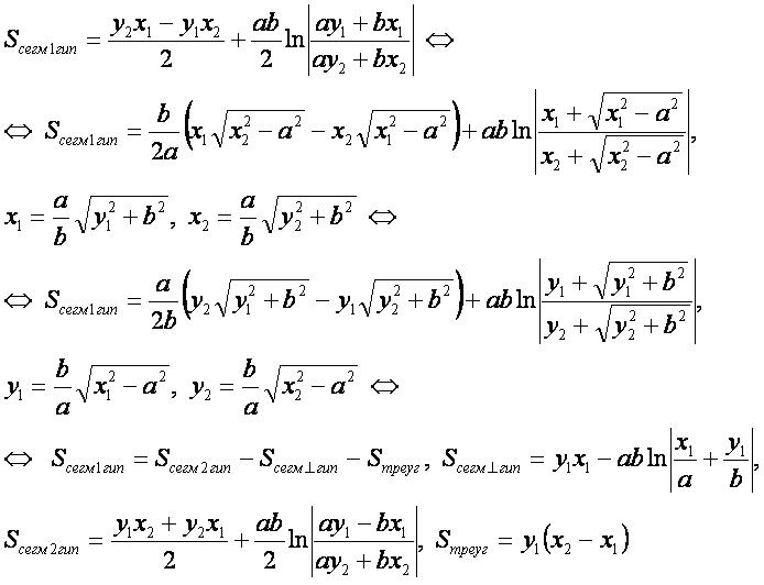
Площадь сегмента, отсекаемого от одной ветви гиперболы[править]
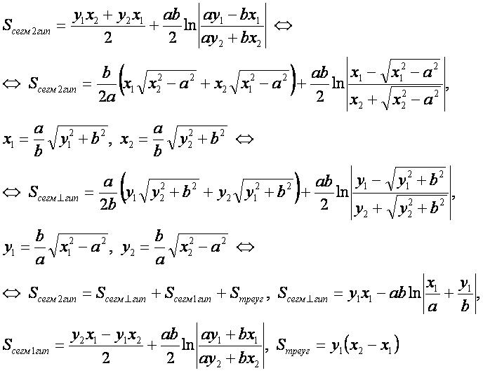
Площадь сегмента, отсекаемого от двух ветвей гиперболы[править]
Вывод формул:[править]
Площадь сегмента, перпендикулярного оси гиперболы[править]
- Для вывода используется формула "площадь плоской фигуры" в прямоугольных координатах.
Площадь сегмента, отсекаемого от одной ветви гиперболы[править]
- Для вывода используется формула "площадь плоской фигуры" в прямоугольных координатах.
Площадь сегмента, отсекаемого от двух ветвей гиперболы[править]
- Для вывода используется формула «площадь плоской фигуры» в прямоугольных координатах.
См. также[править]
Другие формулы[править]
- треугольник;
- четырёхугольник;
- круг;
- сегмент круга;
- сектор круга;
- серп;
- эллипс;
- сегмент эллипса;
- сектор эллипса;
- серп эллипса;
- сегмент параболы;
- сегмент гиперболы;
- сектор кардиоиды;
- сектор лемнискаты Бернулли;
- правильный многоугольник;
- сегмент правильного многоугольника;
- сектор правильного многоугольника;
- арка циклоиды;
- сектор кардиоиды;
- сектор лемнискаты Бернулли.
- арка синусоиды;
- арка косинусоиды;
- фигура, ограниченная тангенсоидой и осью абсцисс;
- фигура, ограниченная котангенсоидой и осью абсцисс;
- треугольник Рёло;
- пятиугольник Рёло;
- многоугольник Рёло;
- общая плоская фигура.