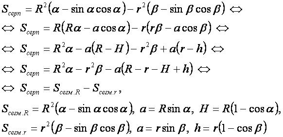
Площадь серпа
Перейти к навигации
Перейти к поиску
Площадь серпа — это число, характеризующее серп в единицах измерения площади.
Серп (полумесяц) — это фигура, отсекаемая окружностью от круга, являющаяся внешней для окружности частью круга и имеющая две крайние точки.
Обозначения[править]
Введём обозначения:
R — радиус круга;
r — радиус окружности;
H — высота сегмента круга;
h — высота сегмента окружности;
a — полуоснование сегмента;
α — угол между осью симметрии серпа и радиусом круга в крайней точке серпа;
β — угол между осью симметрии серпа и радиусом окружности в крайней точке серпа;
Sсегм. R — площадь сегмента круга.
Sсегм.r — площадь сегмента окружности.
Sсерп — площадь серпа.
Формула[править]
Площадь серпа равна разности площадей сегментов круга и отсекающей окружности.
См. также[править]
Другие формулы[править]
- треугольник;
- четырёхугольник;
- круг;
- сегмент круга;
- сектор круга;
- серп;
- эллипс;
- сегмент эллипса;
- сектор эллипса;
- серп эллипса;
- сегмент параболы;
- сегмент гиперболы;
- сектор кардиоиды;
- сектор лемнискаты Бернулли;
- правильный многоугольник;
- сегмент правильного многоугольника;
- сектор правильного многоугольника;
- арка циклоиды;
- сектор кардиоиды;
- сектор лемнискаты Бернулли.
- арка синусоиды;
- арка косинусоиды;
- фигура, ограниченная тангенсоидой и осью абсцисс;
- фигура, ограниченная котангенсоидой и осью абсцисс;
- треугольник Рёло;
- пятиугольник Рёло;
- многоугольник Рёло;
- общая плоская фигура.