Площадь сегмента круга
Перейти к навигации
Перейти к поиску
Площадь сегмента круга — это число, характеризующее сегмент круга в единицах измерения площади.
Сегмент круга — это часть круга, отсекаемая прямой.
Обозначения[править]
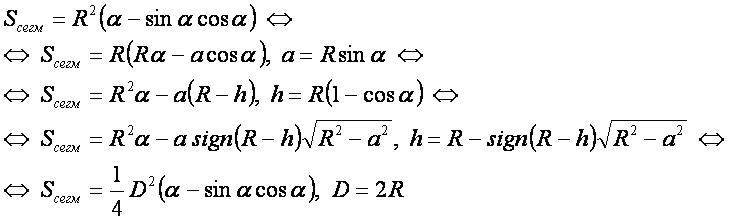
- R — радиус круга;
- a — полуоснование сегмента;
- h — высота сегмента;
- R-h — отклонение основания сегмента от центра круга;
- α — угол между осью симметрии сегмента и радиусом в крайней точке сегмента;
- φ — ценральный угол сегмента между радиусами в крайних точках сегмента, φ=2α;
- Sсегм — площадь сегмента круга.
Формула[править]
Вывод формулы[править]
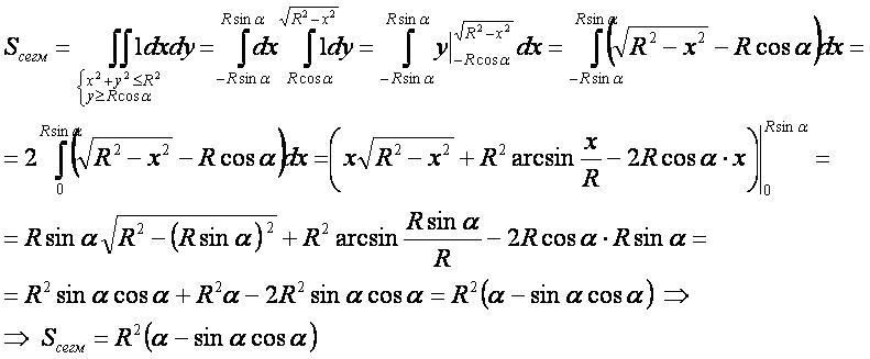
1-й способ[править]
- Для вывода используется формула «площадь плоской фигуры» в прямоугольных координатах.
- Для нахождения интеграла используется формула 3 «интегралы функций с корнями».
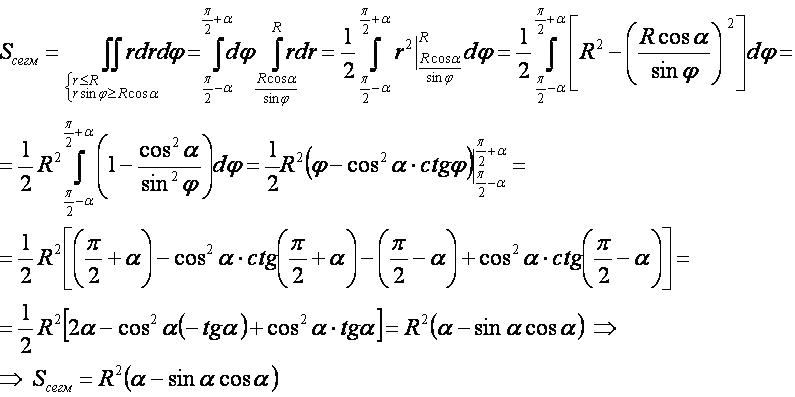
2-й способ[править]
- Для вывода используется формула «площадь плоской фигуры» в полярных координатах.
См. также[править]
Другие формулы[править]
- треугольник;
- четырёхугольник;
- круг;
- сегмент круга;
- сектор круга;
- серп;
- эллипс;
- сегмент эллипса;
- сектор эллипса;
- серп эллипса;
- сегмент параболы;
- сегмент гиперболы;
- сектор кардиоиды;
- сектор лемнискаты Бернулли;
- правильный многоугольник;
- сегмент правильного многоугольника;
- сектор правильного многоугольника;
- арка циклоиды;
- сектор кардиоиды;
- сектор лемнискаты Бернулли.
- арка синусоиды;
- арка косинусоиды;
- фигура, ограниченная тангенсоидой и осью абсцисс;
- фигура, ограниченная котангенсоидой и осью абсцисс;
- треугольник Рёло;
- пятиугольник Рёло;
- многоугольник Рёло;
- общая плоская фигура.