Площадь сегмента правильного n-угольника
Перейти к навигации
Перейти к поиску
Площадь сегмента правильного n-угольника — это число, характеризующее сегмент описанной окружности правильного n-угольника в единицах измерения площади.
Сегмент правильного n-угольника — это меньший сегмент описанной окружности (построенный на стороне) правильного n-угольника.
Обозначения[править]
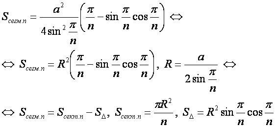
- a — длина стороны;
- n — число сторон;
- R — радиус описанной окружности;
- α — половинный центральный угол, α=π/n;
- φ — ценральный угол сегмента между радиусами в крайних точках сегмента, φ=2α;
- SΔ — площадь равнобедренного треугольника с основанием равным стороне и боковыми сторонами равными радиусу описанной окружности;
- Sсект.n — площадь сектора описанной окружности правильного n-угольника;
- Sсегм.n — площадь сегмента описанной окружности правильного n-угольника.
Формулы[править]
Другие формулы[править]
- треугольник;
- четырёхугольник;
- круг;
- сегмент круга;
- сектор круга;
- серп;
- эллипс;
- сегмент эллипса;
- сектор эллипса;
- серп эллипса;
- сегмент параболы;
- сегмент гиперболы;
- сектор кардиоиды;
- сектор лемнискаты Бернулли;
- правильный многоугольник;
- сегмент правильного многоугольника;
- сектор правильного многоугольника;
- арка циклоиды;
- сектор кардиоиды;
- сектор лемнискаты Бернулли.
- арка синусоиды;
- арка косинусоиды;
- фигура, ограниченная тангенсоидой и осью абсцисс;
- фигура, ограниченная котангенсоидой и осью абсцисс;
- треугольник Рёло;
- пятиугольник Рёло;
- многоугольник Рёло;
- общая плоская фигура.