Площадь эллипса
Перейти к навигации
Перейти к поиску
Площадь эллипса — это число, характеризующее эллипс в единицах измерения площади.
Эллипс — это геометрическое место точек, для которых сумма расстояний от двух заданных точек (фокусов) есть величина постоянная (большая ось эллипса).
Обозначения[править]
Введём обозначения:
a — большая полуось;
b — малая полуось;
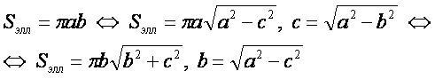
c — расстояние от центра до фокуса;
d — расстояние от центра до директрисы;
r1 — расстояние от правого фокуса до точки эллипса;
r2 — расстояние от левого фокуса до точки эллипса;
Sэлл — площадь эллипса.
Формула[править]
Вывод формулы[править]
1-й способ[править]
- Для вывода используется формула «площадь плоской фигуры» в прямоугольных координатах.
- Для нахождения интеграла используется формула 3 «интегралы функций с корнями».
2-й способ[править]
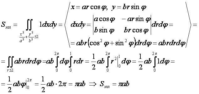
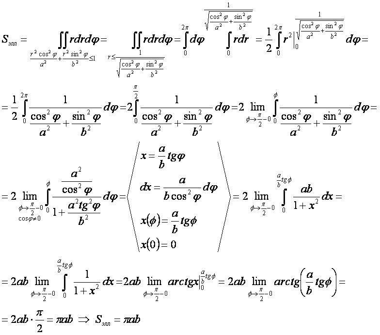
- Для вывода используется формула «площадь плоской фигуры» в полярных координатах.
3-й способ[править]
- Для вывода используется формула «площадь плоской фигуры» в прямоугольных координатах.
- Для нахождения интеграла используется «метод замены переменных» и переход к полярным координатам.
См. также[править]
Другие формулы[править]
- треугольник;
- четырёхугольник;
- круг;
- сегмент круга;
- сектор круга;
- серп;
- эллипс;
- сегмент эллипса;
- сектор эллипса;
- серп эллипса;
- сегмент параболы;
- сегмент гиперболы;
- сектор кардиоиды;
- сектор лемнискаты Бернулли;
- правильный многоугольник;
- сегмент правильного многоугольника;
- сектор правильного многоугольника;
- арка циклоиды;
- сектор кардиоиды;
- сектор лемнискаты Бернулли.
- арка синусоиды;
- арка косинусоиды;
- фигура, ограниченная тангенсоидой и осью абсцисс;
- фигура, ограниченная котангенсоидой и осью абсцисс;
- треугольник Рёло;
- пятиугольник Рёло;
- многоугольник Рёло;
- общая плоская фигура.
Ссылки[править]
- Бронштейн М. Н., Семендяев К. А., Справочник по математике. М., 1956, стр.207.
- Участник:Logic-samara