Площадь, ограниченная котангенсоидой и осью абсцисс
Перейти к навигации
Перейти к поиску
Площадь, ограниченная котангенсоидой и осью абсцисс — это число, характеризующее данную область при 0 < x ≤ π/2 в единицах измерения площади.
Обозначения[править]
Введём обозначения:
x1 — абсцисса первой (меньшей) точки;
x2 — абсцисса второй (большей) точки;
y = ctgx — уравнение котангенса;
Sctg — площадь, ограниченная котангенсоидой и осью абсцисс при 0 < x1 ≤ x2 ≤ π/2.
Формула[править]
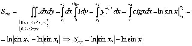
Вывод формулы[править]
- Для вывода используется формула «площадь плоской фигуры» в прямоугольных координатах.
Другие формулы[править]
- треугольник;
- четырёхугольник;
- круг;
- сегмент круга;
- сектор круга;
- серп;
- эллипс;
- сегмент эллипса;
- сектор эллипса;
- серп эллипса;
- сегмент параболы;
- сегмент гиперболы;
- сектор кардиоиды;
- сектор лемнискаты Бернулли;
- правильный многоугольник;
- сегмент правильного многоугольника;
- сектор правильного многоугольника;
- арка циклоиды;
- сектор кардиоиды;
- сектор лемнискаты Бернулли.
- арка синусоиды;
- арка косинусоиды;
- фигура, ограниченная тангенсоидой и осью абсцисс;
- фигура, ограниченная котангенсоидой и осью абсцисс;
- треугольник Рёло;
- пятиугольник Рёло;
- многоугольник Рёло;
- общая плоская фигура.