Площадь поверхности сегментного кольца
Площадь поверхности сегментного кольца — это число, характеризующее сегментное кольцо в единицах измерения площади.
Сегментное кольцо образуется вращением сегмента вокруг оси параллельной хорде сегмента. Если сегмент при вращении остаётся перед хордой, то сегментное кольцо внутреннее, если сегмент при вращении остаётся за хордой, сегментное кольцо внешнее.
Под внутренним сегментным кольцом будем подразумевать также внутреннюю часть тора, вырезаемую цилиндром (часть тора внутри цилиндра), причём оси симметрии тора, цилиндра и сегментного кольца совпадают.
Под внешним сегментным кольцом будем подразумевать также внешнюю часть тора, отсекаемую цилиндром (часть тора вне цилиндра), причём оси симметрии тора, цилиндра и сегментного кольца совпадают.
Обозначения[править]
R — радиус окружности вращения образующей окружности сегмента;
r — радиус образующей окружности сеггмента;
D — диаметр окружности вращения образующей окружности сегмента;
d — диаметр образующей окружности сегмента;
α — острый угол сегмента между осью симметрии сегмента и радиусом, соединяющим центр с хордой, 0<α<π/2;
α1 — угол α внутреннего сегмента;
α2 — угол α внешнего сегмента;
Sвнутр.сегм.кол — площадь поверхности внутреннего сегментного кольца;
Sвнеш.сегм.кол — площадь поверхности внешнего сегментного кольца.
Формулы[править]
Внутреннее сегментное кольцо[править]
Внешнее сегментное кольцо[править]
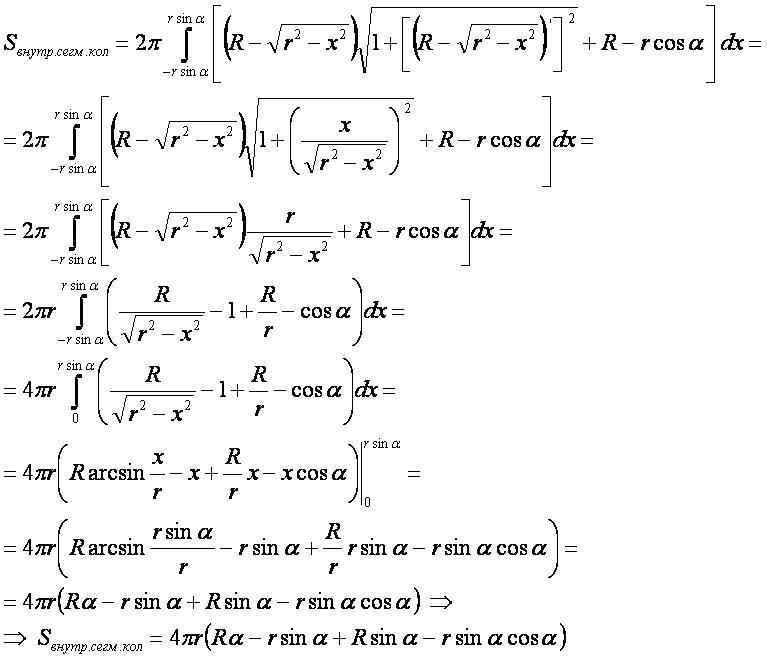
Вывод формул[править]
Внутреннее сегментное кольцо[править]
Внешнее сегментное кольцо[править]
Другие фигуры:[править]
- фигура вращения;
- шар;
- цилиндр;
- конус;
- усечённый цилиндр;
- усечённый конус;
- шаровой сегмент;
- шаровой сектор;
- шаровой слой;
- шаровой клин;
- центральный шаровой клин;
- торовый клин;
- цилиндрическая труба;
- цилиндрическое копыто;
- конусное копыто;
- шаровое копыто;
- шаровая бочка;
- круговая бочка;
- сегментное кольцо;
- тор;
- кокон;
- купол;
- сфероид;
- параболоид вращения.