Площадь поверхности конусного копыта
Перейти к навигации
Перейти к поиску
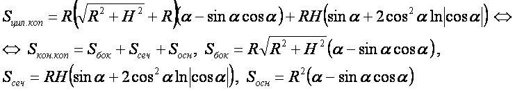
Площадь поверхности конусного копыта — это сумма площадей основания, сечения и боковой поверхности конусного копыта.
Конусное копыто — это меньшая часть прямого кругового конуса, отсеченная вертикальной плоскостью.
Обозначения[править]
R — радиус основания конуса;
H — высота конуса;
h — высота конусного копыта;
α — угол между радиусом основания, соединяющим центр основания конуса и край линии сечения, и горизонтальной осью (проходящей через центры основания и линии сечения);
Sосн — площадь основания;
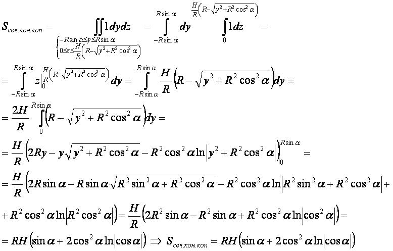
Sсеч — площадь сечения;
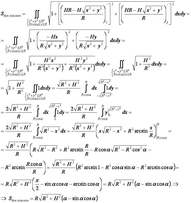
Sбок — площадь боковой поверхности (без сечения);
Sкон.коп — площадь поверхности конусного копыта.
Формула[править]
Вывод формулы[править]
Площадь боковой поверхности[править]
- Для вывода используется «площадь поверхности» в прямоугольных координатах.
Площадь сечения[править]
- Для вывода используется формула «площадь плоской фигуры» в прямоугольных координатах.
Площадь основания[править]
- Для вывода используется формула «площадь сегмента круга».
См. также[править]
Другие формулы[править]
- фигура вращения;
- шар;
- цилиндр;
- конус;
- усечённый цилиндр;
- усечённый конус;
- шаровой сегмент;
- шаровой сектор;
- шаровой слой;
- шаровой клин;
- центральный шаровой клин;
- торовый клин;
- цилиндрическая труба;
- цилиндрическое копыто;
- конусное копыто;
- шаровое копыто;
- шаровая бочка;
- круговая бочка;
- сегментное кольцо;
- тор;
- кокон;
- купол;
- сфероид;
- параболоид вращения.