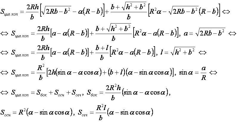
Площадь поверхности цилиндрического копыта
Площадь поверхности цилиндрического копыта — это сумма площадей основания, сечения и боковой поверхности цилиндрического копыта.
Цилиндрическое копыто — это меньшая часть прямого кругового усечённого цилиндра с сечением одного основания.
Обозначения[править]
R — радиус основания;
a — половина длины линии сечения основания;
b — высота основания;
c — расстояние от центра основания до линии сечения основания;
h — высота цилиндрического копыта;
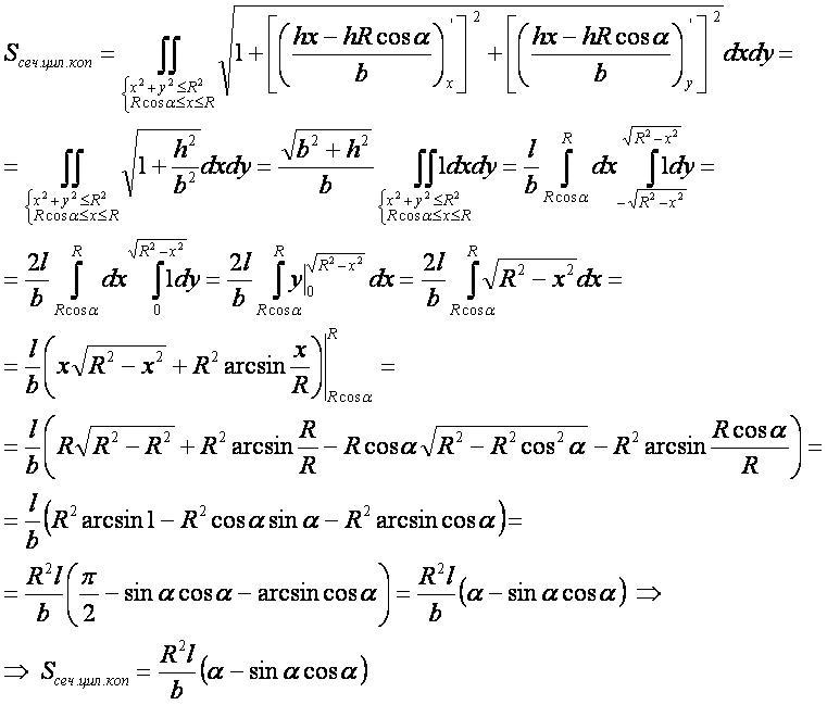
l — высота сечения;
α — угол между радиусом основания, соединяющим центр основания и край линии сечения, и горизонтальной осью (проходящей через центры основания и линии сечения);
Sосн — площадь основания;
Sсеч — площадь сечения;
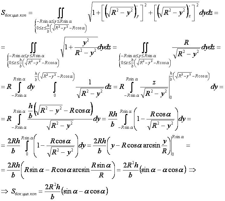
Sбок — площадь боковой поверхности (без сечения);
Sцил.коп — площадь поверхности цилиндрического копыта.
Формула[править]
- Заметим, что при α=π цилиндрическое копыто превращается в усечённый цилиндр с h1=0 и h2=h, а формула площади поверхности цилиндрического копыта превращается в формулу площади поверхности усечённого цилиндра.
Вывод формулы[править]
Площадь боковой поверхности[править]
- Для вывода используется модифицированная формула «площадь поверхности» в прямоугольных координатах.
Площадь сечения[править]
- Для вывода используется формула «площадь поверхности» в прямоугольных координатах.
Площадь основания[править]
- Для вывода используется формула «площадь сегмента круга».
См. также[править]
Другие формулы[править]
- фигура вращения;
- шар;
- цилиндр;
- конус;
- усечённый цилиндр;
- усечённый конус;
- шаровой сегмент;
- шаровой сектор;
- шаровой слой;
- шаровой клин;
- центральный шаровой клин;
- торовый клин;
- цилиндрическая труба;
- цилиндрическое копыто;
- конусное копыто;
- шаровое копыто;
- шаровая бочка;
- круговая бочка;
- сегментное кольцо;
- тор;
- кокон;
- купол;
- сфероид;
- параболоид вращения.
Ссылки[править]
- Бронштейн И. Н., Семендяев К. А., Справочник по математике. М., 1956, стр.175.
- Участник:Logic-samara