Площадь поверхности шарового сектора
Перейти к навигации
Перейти к поиску
Площадь поверхности шарового сектора — это сумма боковых площадей шарового сегмента и конуса.
Обозначения[править]
- — радиус шара и образующая конуса;
- — радиус основания шарового сегмента;
- — высота шарового сегмента;
- — центральный угол шарового сектора;
- — площадь боковой поверхности конуса;
- — площадь боковой поверхности шарового сегмента;
- — площадь поверхности шарового сектора.
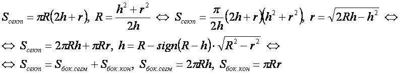
Формула[править]
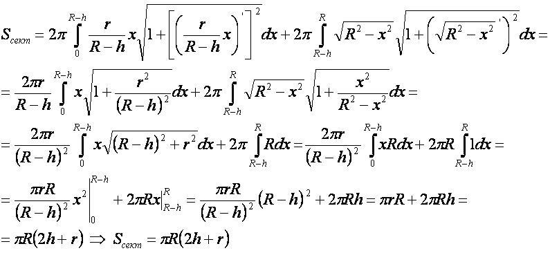
Вывод формулы[править]
См. также[править]
Другие формулы[править]
- фигура вращения;
- шар;
- цилиндр;
- конус;
- усечённый цилиндр;
- усечённый конус;
- шаровой сегмент;
- шаровой сектор;
- шаровой слой;
- шаровой клин;
- центральный шаровой клин;
- торовый клин;
- цилиндрическая труба;
- цилиндрическое копыто;
- конусное копыто;
- шаровое копыто;
- шаровая бочка;
- круговая бочка;
- сегментное кольцо;
- тор;
- кокон;
- купол;
- сфероид;
- параболоид вращения.
Ссылки[править]
- Бронштейн И. Н., Семендяев К. А., Справочник по математике. М., 1956, стр.177.
- Участник:Logic-samara