Площадь поверхности шарового копыта
Перейти к навигации
Перейти к поиску
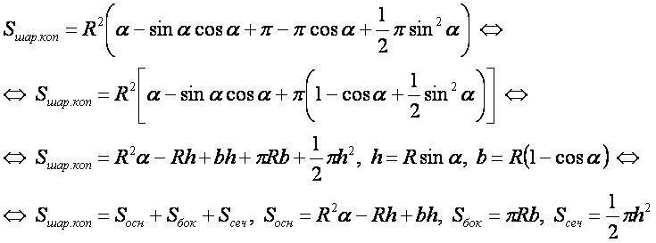
Площадь поверхности шарового копыта — это сумма площадей основания, сечения и боковой поверхности.
Шаровое копыто — это меньшая часть полушара, отсеченная вертикальной плоскостью. Шаровое копыто можно называть отрезком полушара.
Обозначения[править]
R — радиус полушара;
h — высота шарового копыта;
b — высота сегмента основания;
α — угол между радиусом основания, соединяющим центр основания полушара и край линии сечения, и горизонтальной осью (проходящей через центры основания и линии сечения);
Sосн — площадь основания;
Sбок — площадь боковой поверхности (без сечения);
Sсеч — площадь сечения;
Sшар.коп — площадь поверхности шарового копыта.
Формула[править]
- Заметим, что боковая площадь шарового копыта совпадает с половиной боковой площади соответствующего шарового сегмента.
- Заметим, что при α=π/2 шаровое копыто превращается в соответствующий центральный шаровой клин, с площадью поверхности равной боковой площади полушара.
Другие фигуры:[править]
- фигура вращения;
- шар;
- цилиндр;
- конус;
- усечённый цилиндр;
- усечённый конус;
- шаровой сегмент;
- шаровой сектор;
- шаровой слой;
- шаровой клин;
- центральный шаровой клин;
- торовый клин;
- цилиндрическая труба;
- цилиндрическое копыто;
- конусное копыто;
- шаровое копыто;
- шаровая бочка;
- круговая бочка;
- сегментное кольцо;
- тор;
- кокон;
- купол;
- сфероид;
- параболоид вращения.