Площадь сфероида
(перенаправлено с «Площадь поверхности сфероида»)
Перейти к навигации
Перейти к поиску
Площадь сфероида — число, характеризующее сфероид в единицах измерения площади.
Обозначения[править]
a — большая полуось;
b — малая полуось;
Sсфер.вытян — площадь вытянутого сфероида.
Sсфер.сплюсн — площадь сплюснутого сфероида.
Формулы[править]
Вывод формул[править]
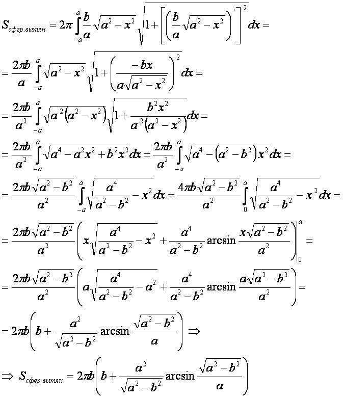
Формула 1[править]
- Для вывода используется формула 1 «площадь поверхности фигуры вращения».
- Для нахождения интеграла используется формула 3 «интегралы функций с корнями».
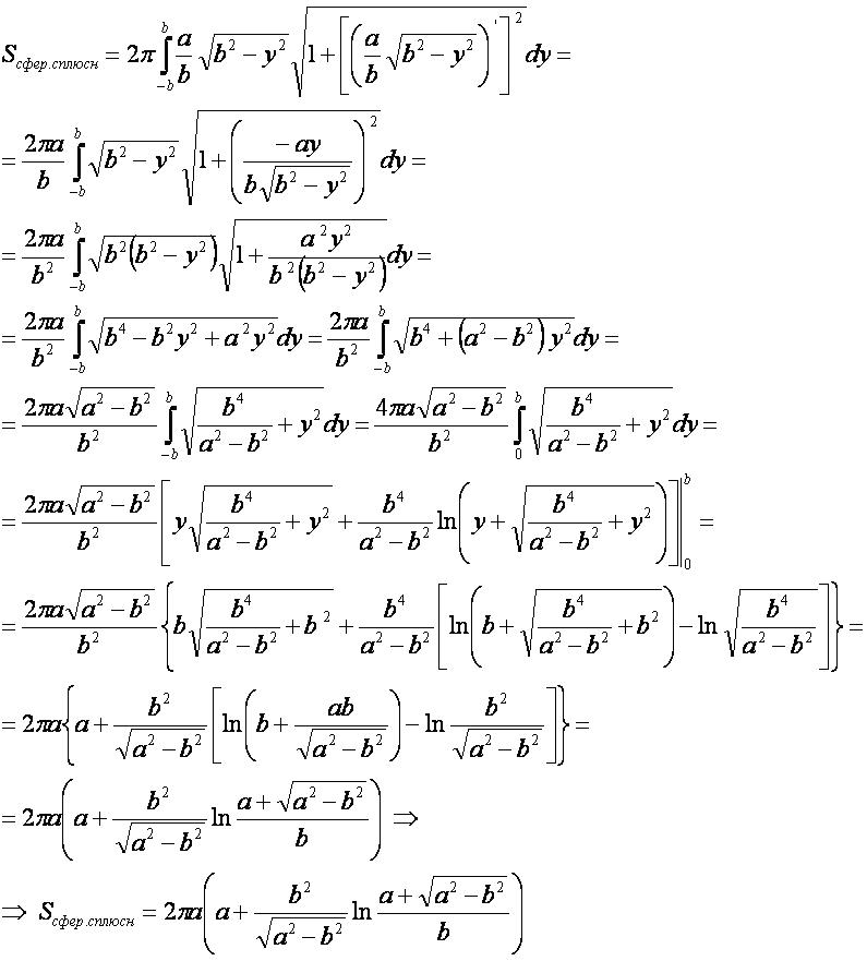
Формула 2[править]
- Для вывода используется формула 2 «площадь поверхности фигуры вращения».
- Для нахождения интеграла используется формула 1 «интегралы функций с корнями».
Другие формулы[править]
- фигура вращения;
- шар;
- цилиндр;
- конус;
- усечённый цилиндр;
- усечённый конус;
- шаровой сегмент;
- шаровой сектор;
- шаровой слой;
- шаровой клин;
- центральный шаровой клин;
- торовый клин;
- цилиндрическая труба;
- цилиндрическое копыто;
- конусное копыто;
- шаровое копыто;
- шаровая бочка;
- круговая бочка;
- сегментное кольцо;
- тор;
- кокон;
- купол;
- сфероид;
- параболоид вращения.