Тригонометрические функции
Тригонометрические функции — специальные функции, в которых аргументами являются углы.
Основные тригонометрические функции: синус, косинус, тангенс, котангенс, секанс, косеканс.
Определения[править]
Тригонометрические функции острого угла определяются как отношения сторон прямоугольного треугольника.
Синус угла (sinx) — отношение противолежащего катета к гипотенузе.
Косинус угла (cosx) — отношение прилежащего катета к гипотенузе.
Тангенс угла (tgx) — отношение противолежащего катета к прилежащему.
Котангенс угла (ctgx) — отношение прилежащего катета к противолежащему.
Секанс угла (secx) — отношение гипотенузы к прилежащему катету.
Косеканс угла (cscx) — отношение гипотенузы к противолежащему катету.
Для любого угла α тригонометрические функции определяются через точку (x, y) в единичной окружности x² + y² = 1, соответствующую этому углу:
- sinα = x
- cosα = y
- tgα = x/y = sinα/cosα
- ctgα = y/x = cosα/sinα
- secα = 1/y = 1/cosα
- cscα = 1/x = 1/sinα
Свойства[править]
- sin²α + cos²α = 1
- sec²α − tg²α = 1, α ≠ πn + π/2, n ∈ ℤ
- csc²α − ctg²α = 1, α ≠ πn, n ∈ ℤ
- sinα · cscα = 1, α ≠ πn, n ∈ ℤ
- cosα · secα = 1, α ≠ πn + π/2, n ∈ ℤ
- tgα · ctgα = 1, α ≠ πn/2, n ∈ ℤ
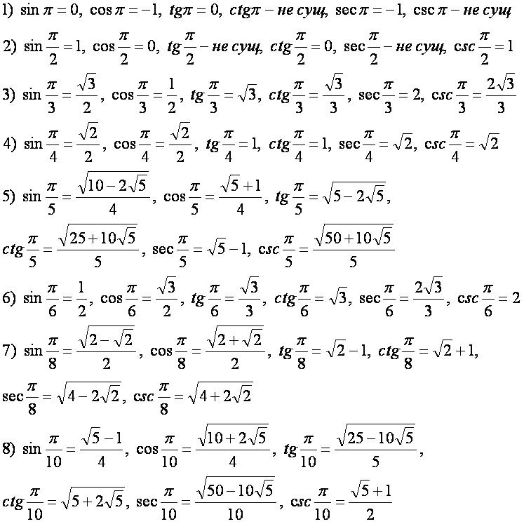
Примеры[править]
Виды операций:[править]
- тригонометрические функции;
- сумма тригонометрических функций;
- разность тригонометрических функций;
- произведение тригонометрических функций;
- тригонометрические функции суммы углов;
- тригонометрические функции разности углов;
- тригонометрические формулы приведения;
- тригонометрические функции двойного угла;
- тригонометрические функции кратных углов;
- тригонометрические функции половинного угла;
- тригонометрические функции угла, полученного многократным делением пи на два;
- выражение тригонометрических функций через другую;
- выражение тригонометрических функций через гиперболические;
- тригонометрические функции комплексной переменной;
- производные тригонометрических функций;
- дифференциалы тригонометрических функций;
- интегралы тригонометрических функций;
- графики тригонометрических функций.
Другие формулы:[править]
Другие функции:[править]
